受委托,我公司定于2023年9月15日10:30在中国拍卖行业协会网络拍卖平台(以下简称“中拍平台”,网址:https://paimai.caa123.org.cn/)以网络竞价的方式,按现状对以下标的进行公开招租,现公告如下:
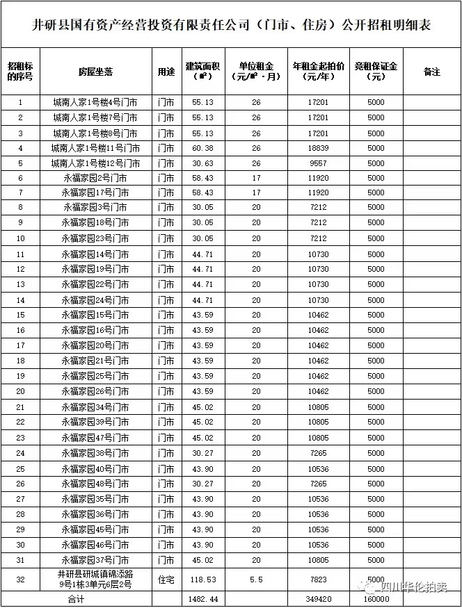
一、招租标的:四川东财资产管理集团有限公司(9个门市、2套住房)和井研县国有资产经营投资有限责任公司(31个门市、1套住房)公开招租(以下简称“标的”),招租概况详见《公开招租明细表》。
二、招租方式:有底价增价方式对外进行公开招租。竞价过程分为自由竞价和限时竞价,请意向承租方注意中拍平台竞价界面的倒计时提示,以免延误竞价。
三、标的展示时间、地点:自公告之日起至招租拍卖会前一日16:00止在标的所在地展示。
四、意向承租方应具备的资格条件:中华人民共和国境内的自然人、法人和非法人组织(法律法规另有规定的除外)均可以参加竞租,本次招租不接受联合体报名参与竞租。
五、报名事宜:凡欲参加竞租的意向承租方,请于2023年9月14日16:00前将竞租保证金转至指定账户【户名:井研县公共资源交易服务中心;账号:4497 0120 0000 04466;开户行:乐山农村商业银行股份有限公司城郊支行,以到账为准,不计利息】,并于2023年9月14日16:00前持有效证件及竞租保证金缴款凭证到井研县公共资源交易服务中心交易大厅(井研县千佛镇兴盛路8号)办理竞租申请手续,同时须在中拍平台(网址:http://paimai.caa123.org.cn)注册账号并通过实名认证完成报名程序,中拍平台客服电话:400-898-5988。
六、详情见《竞租须知》。
七、联系人及电话:黄女士 18081309199(微信同号)
四川华伦拍卖有限公司
2023年8月28日
附:井研县门市、住房公开招租明细表

